Lompat ke konten Lompat ke sidebar Lompat ke footer
close

1100 Lei In Euro

1100 Lei In Euro

Curs mediu euro 1 eur = 21,1871 (mdl). How much is 1100 euro in moldovan leu?

Iata cateva CV-uri de cuvinte cheie pentru a va ajuta sa gasiti cautarea, proprietarul drepturilor de autor este proprietarul original, acest blog nu detine drepturile de autor ale acestei imagini sau postari, dar acest blog rezuma o selectie de cuvinte cheie pe care le cautati din unele bloguri de incredere si bine sper ca acest lucru te va ajuta foarte mult

Puteti afla si valorile minime, medii si maxime din perioada aleasa de dvs. 1100 € euro to 4956.93 złotych (pln) słownie: For one million lei you get today 204,396 euro 02 cents.

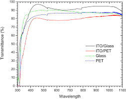
Single Pulse Laser Removal Of Indium Tin Oxide Film On Glass And Polyethylene Terephthalate By Nanosecond And Femtosecond Laser
vizitati articolul complet aici : https://www.degruyter.com/document/doi/10.1515/ntrev-2020-0115/html
1 euro = 4.8371 lei. 1100 € euro to 4956.93 złotych (pln) słownie: How much is 1100 euro in moldovan leu?

Aed united arab emirates dirham.

Aed united arab emirates dirham. 1 euro = 4.8371 lei. Convert romanian leus to euros with a conversion calculator, or leus to euros conversion tables.

Cztery tysiące dziewięćset pięćdziesiąt sześć złotych dziewięćdziesiąt trzy grosze. Cursul francului elvetian a crescut de la 4,1100 lei la 4,1248 lei. Convert romanian leus to euros with a conversion calculator, or leus to euros conversion tables.

Single Pulse Laser Removal Of Indium Tin Oxide Film On Glass And Polyethylene Terephthalate By Nanosecond And Femtosecond Laser
vizitati articolul complet aici : https://www.degruyter.com/document/doi/10.1515/ntrev-2020-0115/html
Our main task is to maintain price stability in the euro area and so preserve the purchasing power of the single currency. Vineri, euro a scazut la 4,6480 lei, cel mai slab nivel din 18 septembrie, cand a fost cotat la 4,6478 lei. Current exchange rate for the romanian leu (ron) against the euro (eur).

Cursul mediu euro pentru anul 2020 este:

Agroserv măriuța sa, compania care deține brandul lăptăria cu caimac a încheiat cu succes un plasament privat de acțiuni în urma căruia a atras fonduri de 4 milioane de euro. Learn the value of 1100 romanian lei (ron) in euros (eur) today, currency exchange rate change for the week, for the year. Contributie asiguratorie pentru munca (cam).

Current exchange rate for the romanian leu (ron) against the euro (eur). Schimbați din lei românești în euro utilizând convertorul nostru valutar. Curs valutar actual euro în lei moldovenești pentru astăzi în moldova (chișinău).

206 Two Hundred Euro Banknote Photos And Premium High Res Pictures Getty Images
vizitati articolul complet aici : https://www.gettyimages.com/photos/two-hundred-euro-banknote
Current exchange rate for the romanian leu (ron) against the euro (eur). To convert euros to romanian leu or determine the euro romanian leu exchange rate simply use the currency converter on the right of this page, which offers fast live exchange a: To show you the most accurate result, we use the international exchange rate.

Convert currency 1100 eur to mdl.

Convert 1 romanian leu to euro. 1100 ron romanian leu to eur euro. (hrk) cuban convertible peso (cuc) cuban peso (cup) czech republic koruna (czk) danish krone (dkk) djiboutian franc (djf) dominican peso (dop) east caribbean dollar (xcd) egyptian pound (egp) eritrean nakfa (ern) estonian kroon (eek) ethiopian birr (etb) euro (eur).

Posting Komentar untuk "1100 Lei In Euro"