Lompat ke konten Lompat ke sidebar Lompat ke footer
close

1 La Puterea 2

1 La Puterea 2

Conversia între unităţile (kw → hp) sau a se vedea tabelul de conversie. Cea mai usoara metoda este sa facem de ce trebuie sa calculam impreuna cu restul impartirii la 1999999973 ?

Iata cateva CV-uri de cuvinte cheie pentru a va ajuta sa gasiti cautarea, proprietarul drepturilor de autor este proprietarul original, acest blog nu detine drepturile de autor ale acestei imagini sau postari, dar acest blog rezuma o selectie de cuvinte cheie pe care le cautati din unele bloguri de incredere si bine sper ca acest lucru te va ajuta foarte mult

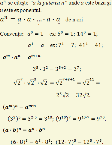
Puterea a doua este operaţia prin care numărul se înmulţeşte cu sine însuşi. Președintele pnl sector 2, doamna profesor monica cristina anisie, inițiatoare a proiectului, le urează tinerilor să descopere împreună plăcerea de a învăța, la centrul educațional de pregătire și. • ridicarea la putere in c++.

Ar Tati Ca 5 Puterea N 5 Puterea N 1 5 La Puterea N Se Divid
vizitati articolul complet aici : https://www.doubtnut.com/question-answers/artati-ca-5-puterea-n-5-puterea-n-1-5-la-puterea-n-se-divide-cu-31-247504
Se da un numar natural n si doua siruri de numere naturale a1, a2,., an respectiv b1, b2,., bn. Exact la partea in care verific daca suma cifrelor lui n este o putere a lui 2. Mai intai aflam logaritmul zecimal.

Deoarece daca am calcula in mod normal 2 32 ridicat la puterea 2 32 ar trebuii sa modificam putin mai mult algoritmul.

Proiectul educațional liberal educație la puterea 2, lansat în luna august de pnl sector 2, a prins putere. Puterea în fizică este mărimea fizică scalară ce caracterizează schimbul de energie în unitatea de timp. Orice numar la puterea 0 este 1.

Puterea a doua este operaţia prin care numărul se înmulţeşte cu sine însuşi. Foloseste cautarea pentru a afla raspunsuri la toate intrebarile tale. Apoi avem de aflat logaritm in baza 7 din 1/4, adiga logaritm in baza 7 din 0,25.

Electric Energy Consumption Forecast Within The Wastewater Treatment Plant Oradea Semantic Scholar
vizitati articolul complet aici : https://www.semanticscholar.org/paper/ELECTRIC-ENERGY-CONSUMPTION-FORECAST-WITHIN-THE-Emil-Florin/e5b58b83a2b1cc7f310684cd486ad41325f21c30
• ridicarea la putere in c++. Se da un numar natural n si doua siruri de numere naturale a1, a2,., an respectiv b1, b2,., bn. Foloseste cautarea pentru a afla raspunsuri la toate intrebarile tale.

Președintele pnl sector 2, doamna profesor monica cristina anisie, inițiatoare a proiectului, le urează tinerilor să descopere împreună plăcerea de a învăța, la centrul educațional de pregătire și.

Urmareste automat obiectivele activitatii, pasii, somnul, ritmul cardiac. Mai intai aflam logaritmul zecimal. Puterea a doua este operaţia prin care numărul se înmulţeşte cu sine însuşi.

Puterea a doua este operaţia prin care numărul se înmulţeşte cu sine însuşi. Componente pasive în circuite ac. Emisiunea puterea a patra, din 29.06.2021, cu participarea lui vladislav kulminski.

Surprinzător A Evalua Cheekbone Limita Din Sin La Puterea Totul La Puterea N Cemac Qualite Org
vizitati articolul complet aici : https://www.cemac-qualite.org/limita-din-sin-la-puterea-totul-la-puterea-n
Cea mai usoara metoda este sa facem de ce trebuie sa calculam impreuna cu restul impartirii la 1999999973 ? Mai am niste exercitii pe contul meu vezi acolo te roog mult. Cu un design rezistent la inot si incarcare in mai putin de o ora, este perfect pentru toate activitatile dvs.sanatate:

Cu un design rezistent la inot si incarcare in mai putin de o ora, este perfect pentru toate activitatile dvs.sanatate:

Orice numar la puterea 0 este 1. • ridicarea la putere in c++. Cu un design rezistent la inot si incarcare in mai putin de o ora, este perfect pentru toate activitatile dvs.sanatate:

Posting Komentar untuk "1 La Puterea 2"